Για να μπορέσουν τα σύγχρονα συστήματα θέρμανσης να πετύχουν υψηλούς δείκτες απόδοσης, θα πρέπει να ακολουθούνται από τους καταναλωτές συγκεκριμένες οδηγίες, οι οποίες συχνά δεν αναγράφονται στα τεχνικά φυλλάδια των κατασκευαστών.
Του κ. Ιωάννη Μπετούνη*
Τα τελευταία χρόνια, ολοένα και περισσότερα σπίτια ή επαγγελματικοί χώροι αντικαθιστούν τα κλασικά συστήματα θέρμανσης με καινούργια. Οι καταναλωτές καταργούν το κλασικό σύστημα πετρελαίου θέρμανσης και στρέφονται σε νέα συστήματα με φυσικό αέριο, υγραέριο ή ρεύμα.
Σε αρκετές περιπτώσεις, μετά την αλλαγή του συστήματος θέρμανσης, τα υπάρχοντα θερμαντικά σώματα δεν αποδίδουν όσο αυτά που λειτουργούν με πετρέλαιο θέρμανσης. Για παράδειγμα, εάν σε έναν επίτοιχο λέβητα φυσικού αερίου ή υγραερίου η μέγιστη τιμή της εξαγωγής του ζεστού νερού προς τα θερμαντικά σώματα είναι περίπου 72°C, ένας αντίστοιχος λέβητας με πετρέλαιο θέρμανσης μπορεί να φτάσει μέχρι τους 90°C.
Για τον λόγο αυτό θα πρέπει να πούμε ότι παίζει σημαντικό ρόλο η μέγιστη τιμή (σε βαθμούς Κελσίου) εξαγωγής του ζεστού νερού προς τα θερμαντικά σώματα και να εξετάσουμε το παράδειγμα που παραθέτουμε παρακάτω.
Παράδειγμα
Αν σε ένα δωμάτιο βάλουμε δύο ίδιους κουβάδες με την ίδια ακριβώς ποσότητα ζεστού νερού, με θερμοκρασία νερού στον πρώτο κουβά 90°C και με θερμοκρασία νερού στον δεύτερο κουβά 72°C, τότε όλοι μας μπορούμε να αντιληφθούμε ότι ο κουβάς με τη χαμηλότερη θερμοκρασία νερού θα κρυώσει πιο γρήγορα.
Για να κρυώσουν την ίδια χρονική στιγμή οι δύο κουβάδες με τη διαφορετική θερμοκρασία νερού, θα πρέπει στον κουβά που περιέχεται το νερό με τη χαμηλότερη θερμοκρασία (72°C) να προσθέσουμε επιπλέον ποσότητα νερού με την ίδια θερμοκρασία.
Έτσι, αυξάνοντας τον όγκο του νερού, αυξάνουμε και την ικανότητα μεταφοράς περισσότερων θερμίδων, διατηρώντας τη θερμοκρασία του νερού στους 72°C. Αυτό συμβαίνει διότι ο κουβάς με την υψηλότερη θερμοκρασία μπορεί να αποδώσει και μεγαλύτερα ποσά θερμότητας, δηλαδή μπορεί να αποδώσει περισσότερες θερμίδες με την ίδια ποσότητα νερού στον κουβά.
Οι θερμίδες, λοιπόν, που μπορεί να αποθηκεύσει το νερό μέσα του και στη συνέχεια να τις αποδώσει στο θερμαντικό σώμα εξαρτώνται άμεσα από την ποσότητα του νερού και τη θερμοκρασία του.
Απόδοση θερμότητας
Πώς όμως, με βάση αυτό το παράδειγμα, επηρεάζεται η ικανότητα απόδοσης της θερμότητας των θερμαντικών σωμάτων. Η συντριπτική πλειοψηφία των κατασκευαστών θερμαντικών σωμάτων αναγράφουν τις τιμές της θερμικής απόδοσης ανά διάσταση θερμαντικών σωμάτων, με γνώμονα ότι το νερό στο θερμαντικό σώμα θα εισέλθει με θερμοκρασία 90°C και θα εξέλθει με θερμοκρασία νερού τους 70°C.
Επομένως, εάν η εστία καύσης δεν μπορεί να εξαγάγει νερό με θερμοκρασία 90°C, ώστε αυτό να οδηγηθεί στα θερμαντικά σώματα, τότε αυτά δεν μπορούν να αποδώσουν τις αναγραφόμενες θερμίδες στο τεχνικό φυλλάδιο του κατασκευαστή.
Σε αυτή την περίπτωση, θα πρέπει να επανυπολογίσουμε τις θερμίδες που τελικά αποδίδουν τα θερμαντικά σώματα της εγκατάστασής μας, βρίσκοντας το συντελεστή διόρθωσης. Ο συντελεστής αυτός θα μας δώσει τις νέες θερμίδες που απαιτούνται, ώστε να αποδώσει σωστά το θερμαντικό σώμα και να καλύψει τις απώλειες του χώρου. Οι νέες υπολογιζόμενες θερμίδες μπορεί να αλλάξουν και τις απαιτούμενες διαστάσεις των θερμαντικών σωμάτων.
Έτσι, λοιπόν, αν μετατραπεί μια υπάρχουσα εγκατάσταση με πετρέλαιο θέρμανσης και τοποθετηθεί ένας επίτοιχος λέβητας υγραερίου ή φυσικού αερίου, θα πρέπει να υπολογίσουμε ξανά τις θερμίδες που θα αποδώσουν τα θερμαντικά σώματα.
Εάν οι θερμίδες που θα αποδώσουν αυτά υπολείπονται των θερμίδων που απέδιδαν με τον προηγούμενα λέβητα πετρελαίου, τότε θα πρέπει να αυξήσουμε τις διαστάσεις των θερμαντικών σωμάτων, όπου απαιτείται. Άλλωστε, βάσει του παραδείγματος με τους δύο κουβάδες που προαναφέρθηκε, σε μια υπάρχουσα εγκατάσταση θέρμανσης που αλλάζουμε την εστία καύσης, δεν μπορούμε να αλλάξουμε παρά μόνο την ποσότητα του νερού σε αυτήν, μεγαλώνοντας τις διαστάσεις των θερμαντικών σωμάτων.
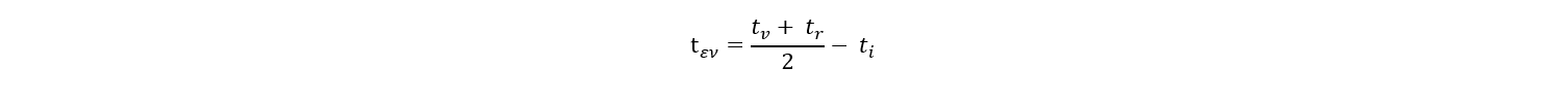
Ο μαθηματικός τύπος για τον υπολογισμό του συντελεστή διόρθωσης είναι ο εξής:

tν είναι η θερμοκρασία εισόδου του νερού στο σώμα (°C), δηλαδή η μέγιστη θερμοκρασία που μπορεί να παραγάγει η εστία καύσης ή η αντλία θερμότητας.
tr είναι η θερμοκρασία εξόδου του νερού από το σώμα (°C) και ορίζεται ανάλογα με το είδος της εστίας καύσης ή αν υπάρχει αντλία θερμότητας. Για τις εστίες καύσης είναι περίπου 20°C κάτω από τη θερμοκρασία tv, ενώ για αντλία θερμότητας είναι περίπου 10°C κάτω από τη θερμοκρασία tv.
ti, είναι η θερμοκρασία του χώρου (°C), ορίζεται ως η επιθυμητή, περίπου 20°C για τον θερμαινόμενο χώρο.
Αφού βρεθεί το tεν, στη συνέχεια, με τη βοήθεια του διαγράμματος 1, μπορούμε να υπολογίσουμε το συντελεστή διόρθωσης, όπως φαίνεται σε αυτό το παράδειγμα με την μπλε γραμμή.

*Ο κ. Ιωάννης Μπετούνης είναι BSc μηχανολόγος μηχανικός, με μεταπτυχιακό στη Ρομποτική (MSc Robotics) και διδακτορικό (PhD Canditate).
Λεζάντα – Διάγραμμα
Αφού βρεθεί ο συντελεστής, πολλαπλασιάζεται με τις θερμίδες που αποδίδει το θερμαντικό σώμα, βάσει του τεχνικού φυλλαδίου του κατασκευαστή, και προκύπτουν οι νέες θερμίδες που θα πρέπει να αποδίδει το θερμαντικό σώμα.


