Άρθρο των κ. Ευάγγελου Μπέλλου & Χρήστου Τζιβανίδη*
Εισαγωγή
Με τη παραγωγή θερμότητας έως και 1.000oC, οι συγκεντρωτικοί θερμικοί συλλέκτες είναι τεχνολογίες που επιτρέπουν την αποδοτική αξιοποίηση της ηλιακής ακτινοβολίας για θέρμανση, ψύξη, ηλεκτρισμό, παραγωγή υδρογόνου και άλλων προϊόντων.
Η αξιοποίηση της ηλιακής ακτινοβολίας που προσπίπτει στην επιφάνεια της γης είναι ικανή να καλύψει τις ενεργειακές ανάγκες της ανθρωπότητας δίχως να επιβαρύνει το περιβάλλον. Ο ήλιος στην εξωτερική του στοιβάδα έχει πολύ υψηλή θερμοκρασία, της τάξης των 6.000οK, και με την κατασκευή συσκευών που αξιοποιούν τη δύναμη του ήλιου μπορεί να παραχθεί θέρμανση, ψύξη, ηλεκτρισμός κ.ά.
Όμως, για την παραγωγή των προϊόντων υψηλού ενεργειακού περιεχόμενου, είναι απαραίτητη η χρήση κατόπτρων για να υπάρξει συγκέντρωση της ηλιακής ακτινοβολίας και να αναπτυχθούν υψηλές θερμοκρασίες λειτουργίας.
Οι συγκεντρωτικοί θερμικοί συλλέκτες ενσωματώνουν τεχνολογίες που επιτρέπουν την αποδοτική αξιοποίηση της ηλιακής ακτινοβολίας και επιτυγχάνουν παραγωγή θερμότητας έως και 1.000oC, η οποία μπορεί να αξιοποιηθεί με την κατάλληλη κάθε φορά συσκευή.

Περιγραφή παραβολικού συλλέκτη
Η πιο ώριμη και διαδομένη τεχνολογικά μορφή συγκεντρωτικού θερμικού συστήματος είναι ο επιμήκης παραβολικός ηλιακός συλλέκτης (parabolic trough collector – PTC) ο οποίος δίνεται στην εικόνα 1. Ο συλλέκτης αυτός αποτελείται από το επίμηκες παραβολικό κάτοπτρο και τον δέκτη. Το κάτοπτρο αποτελείται από μια ανακλαστική επιφάνεια μικρού πάχους η οποία έχει ανακλαστικότητα της τάξης του 93%. Ο δέκτης του συλλέκτη είναι συνήθως ένας σωλήνας κενού, έτσι ώστε να παρουσιάζει υψηλή θερμική απόδοση.
Μια χαρακτηριστική παράμετρος του παραβολικού συλλέκτη, και εν γένει των συγκεντρωτικών συλλεκτών, είναι ο λόγος συγκέντρωσης:

Η παράμετρος αυτή δείχνει πόσες φορές είναι μεγαλύτερο το άνοιγμα του συλλέκτη σε σχέση με την επιφάνεια απορρόφησης της ηλιακής ακτινοβολίας στο δέκτη. Σε έναn παραβολικό συλλέκτη, ο λόγος συγκέντρωσης μπορεί να είναι από 10 έως 50. Ο μεγαλύτερος λόγος συγκέντρωσης οδηγεί σε δυνατότητα λειτουργίας σε υψηλότερες θερμοκρασίες με αυξημένη θερμική απόδοση.
Ο δέκτης αποτελείται από ένα εξωτερικό γυάλινο κάλυμμα, έναν μεταλλικό δέκτη, ενώ το «εργαζόμενο» μέσο του συλλέκτη ρέει εντός του μεταλλικού σωλήνα. Η εγκάρσια τομή του δέκτη δίνεται στην εικόνα 2. Το εργαζόμενο μέσο μπορεί να είναι νερό / ατμός (πεπιεσμένος ή μη), θερμικό έλαιο για λειτουργία έως τους 400oC, καθώς και τηγμένο άλας (συνήθως νιτρικό άλας) για λειτουργία έως τους 600oC, ενώ μπορεί σπανιότερα να χρησιμοποιηθεί και πεπιεσμένο αέριο για επίτευξη υψηλότερων θερμοκρασιών.

Ο συνήθης σχεδιασμός του δέκτη έχει συνθήκες κενού μεταξύ του γυάλινου καλύμματος και του μεταλλικού απορροφητήρα, έτσι ώστε να μειώσει τις θερμικές απώλειες του συλλέκτη και να εκμηδενίσει τις απώλειες θερμικής συναγωγής εντός του δέκτη.
Ο συλλέκτης παρουσιάζει μέγιστο οπτικό βαθμό απόδοσης μεταξύ 70% έως 80%, όταν οι ηλιακές ακτίνες είναι κάθετες στο άνοιγμα του συλλέκτη. Όμως αυτό είναι σπάνιο, γιατί ο συλλέκτης είναι οριζόντιος και ο ήλιος δεν είναι πάντα σε κατακόρυφη θέση. Γι’ αυτό το λόγο είναι σημαντικό να αναφερθεί ότι ο συλλέκτης κινείται κατά τη διάρκεια της ημέρας, έτσι ώστε να ακολουθεί την τροχιά του ήλιου και να πραγματοποιείται κατάλληλη ευθυγράμμιση του ανοίγματος της παραβολής με την ηλιακή ακτινοβολία.
Εάν κατά τη διάρκεια της ημέρας δεν προσπίπτει κάθετα η ηλιακή ακτινοβολία, υπάρχουν οπτικές απώλειες στο σύστημα και ο βαθμός απόδοσης υποχωρεί σε τιμές κάτω του 75% (και μπορεί, για παράδειγμα, να είναι κοντά στο 60%). Τους θερινούς μήνες η οπτική απόδοση είναι υψηλότερη σε σχέση με τους χειμερινούς, γιατί κατά το θέρος ο ήλιος είναι πιο ψηλά και έτσι αξιοποιείται καλύτερα η προσπίπτουσα ηλιακή ακτινοβολία.

Η παρακολούθηση του ήλιου πραγματοποιείται με κατάλληλο σύστημα (tracking system) υψηλής ακρίβειας (σφάλμα μικρότερο από 0,1 μοίρα), ενώ στους παραβολικούς συλλέκτες τοποθετείται συνήθως σύστημα παρακολούθησης ενός άξονα. Τέλος, πρέπει να αναφερθεί ότι ο παραβολικός συλλέκτης αξιοποιεί μόνο την άμεση ηλιακή ακτινοβολία του ήλιου και όχι τη διάχυτη ακτινοβολία.
Ολοκληρωμένο σύστημα λειτουργίας
Σε μια εγκατάσταση, ένα ολοκληρωμένο σύστημα λειτουργίας αποτελείται από τους συλλέκτες, το δοχείο αποθήκευσης και τη συσκευή που απαιτεί θερμότητα για λειτουργία (π.χ. θερμοδυναμικό κύκλο Rankine για ηλεκτροπαραγωγή). Η εικόνα 3 παριστάνει ένα σύστημα χρήσης θερμικών ηλιακών παραβολικών συλλεκτών.
Σε ένα ηλιοστατικό πεδίο τοποθετούνται πολλά τμήματα του συλλέκτη (modules), σε σειρά ή παράλληλα, έτσι ώστε να επιτευχθεί η επιθυμητή παροχή και θερμοκρασιακή ανύψωση. Συνήθως, σε ένα κομμάτι του συλλέκτη η θερμοκρασιακή ανύψωση είναι της τάξης των 10οK, ενώ σε ένα μεγάλο πεδίο μπορεί συνολικά να είναι 50οΚ ή και 100οΚ. Η ανηγμένη παροχή μάζας ως προς την συνολική συλλεκτική επιφάνεια είναι της τάξης των 0,02 kg s-1 m-2 ή μπορεί να είναι και μεγαλύτερη.
Εν γένει, επιλέγονται σχετικά υψηλές παροχές για να υπάρχει τυρβώδης ροή, και έτσι η μετάδοση θερμότητας από το μεταλλικό σωλήνα στο εργαζόμενο μέσο να είναι επαρκής. Η πτώση πίεσης είναι σχετικά μικρή, αλλά υπάρχει ανάγκη για έναν κυκλοφορητή στο σύστημα.
Η ενέργεια που παράγεται αποθηκεύεται σε ένα θερμικό δοχείο αποθήκευσης, έτσι ώστε να αξιοποιηθεί αργότερα και να υπάρχει μια εξισορρόπηση των θερμοκρασιών μεταβολών στο σύστημα. Πιο συνηθισμένος τρόπος αποθήκευσης είναι με ένα μονωμένο δοχείο αισθητής θερμότητας. Η χρήση θερμοκλίνης με πέτρες εντός του δοχείου είναι ένας τρόπος για βελτίωση της απόδοσης του δοχείου και μείωση του κόστους εγκατάστασης
Επίσης, στη βιβλιογραφία υπάρχουν μελέτες για συστήματα αποθήκευσης με υλικά αλλαγής φάσης. Σε περιπτώσεις λειτουργίας με τηγμένο άλας (για ηλεκτροπαραγωγή), έχει αποδειχτεί ότι η χρήση δύο δοχείων, ενός ψυχρού και ενός θερμού, είναι η βέλτιστη επιλογή σχεδιασμού.

Θερμική απόδοση παραβολικού συλλέκτη
Η θερμική απόδοση του ηλιακού συλλέκτη είναι η σημαντικότερη παράμετρος για την αξιολόγηση του. Ο ορισμός της θερμικής απόδοσης είναι ο εξής:

Η θερμική απόδοση, η οποία δείχνει τι ποσοστό της προσπίπτουσας ηλιακής ακτινοβολίας μετατρέπεται σε ωφέλιμη θερμική ισχύ προς χρήση, εξαρτάται από διάφορες παραμέτρους, όπως είναι η θερμοκρασία λειτουργίας, η παροχή μάζας και η ένταση της ηλιακής ακτινοβολίας.
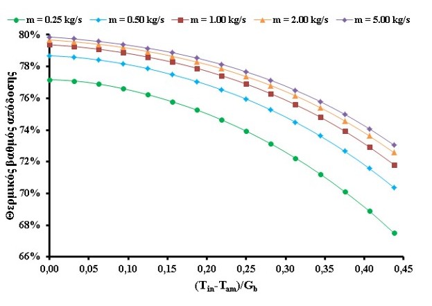
Στην εικόνα 4 καθίσταται πιο κατανοητή η επίδραση των διαφόρων παραμέτρων στην απόδοση του συλλέκτη. Η συγκεκριμένη εικόνα δείχνει ότι η θερμική απόδοση μειώνεται με την αύξηση της θερμοκρασίας λειτουργίας, γιατί η μεγαλύτερη θερμοκρασία λειτουργίας αυξάνει τις θερμικές απώλειες.
Επίσης, η αύξηση της παροχής μάζας οδηγεί σε τυρβώδεις συνθήκες ροής, σε αύξηση του συντελεστή μετάδοσης θερμότητας, σε μείωση της μέσης θερμοκρασίας του απορροφητήρα, σε μείωση των θερμικών απωλειών και συνεπώς σε αύξηση της θερμικής απόδοσης του συλλέκτη.
Η αύξηση της έντασης της ηλιακής ακτινοβολίας οδηγεί σε αύξηση της απόδοσης επειδή περισσότερη ενέργεια απορροφάται στο δέκτη, ενώ οι αντίστοιχες θερμικές απώλειες δεν αυξάνουν αντιστοίχως, εξαιτίας του υψηλού λόγου συγκέντρωσης.
Η εικόνα 4 δείχνει ότι η θερμική απόδοση για μηδενική γωνία πρόσπτωσης είναι εν γένει υψηλή και μεγαλύτερη από 66% για όλες τις εξεταζόμενες συνθήκες. Χρησιμοποιείται θερμικό έλαιο το οποίο λειτουργεί έως τους 400oC περίπου για λόγους ασφαλείας. Επίσης, είναι σημαντικό να αναφερθεί ότι για παροχή μάζας μεγαλύτερης του 1 kg/s, η απόδοση πλησιάζει τις μέγιστες δυνατές τιμές.
Τα αποτελέσματα αυτά αφορούν το μοντέλο Eurotrough με διαστάσεις κατόπτρου (12 m x 5.8 m), ενώ η εσωτερική και εξωτερική διάμετρος απορροφητήρα είναι 66 και 70 mm αντίστοιχα. Η διάμετρος του καλύμματος είναι περίπου 120 mm.
Σύνοψη
Ο παραβολικός επιμήκης ηλιακός θερμικός συλλέκτης αποτελεί την πιο ώριμη και διαδομένη τεχνολογία σε θερμικούς συγκεντρωτικούς συλλέκτες, και χρησιμοποιείται σε διάφορες εφαρμογές θέρμανσης, βιομηχανικών διεργασιών, ψύξης / κλιματισμού και ηλεκτροπαραγωγής.
Το ανηγμένο κόστος για την εγκατάσταση του συλλέκτη είναι περίπου 200 με 250 ευρώ / m2. Η απόδοση είναι σχετικά υψηλή και κινείται σε εύρος από 50% έως 70%, κάτι που καθιστά ευκολότερη και οικονομικότερη την παραγωγή θερμική ισχύος.
Η χρήση των παραβολικών συλλεκτών σε συστήματα μέσης παραγωγής θερμότητας είναι μια αποδοτική επένδυση, με χρόνο αποπληρωμής περίπου στα 3 με 4 έτη. Σε εφαρμογές ηλεκτροπαραγωγής ο χρόνος αποπληρωμής αυξάνει σε 7 με 10 έτη, επειδή υπάρχει ανάγκη για επιπλέον αγορά της θερμικής μηχανής.
Τέλος, συστήματα συμπαραγωγής, τριπαραγωγής και πολυπαραγωγής με χρήση παραβολικών συλλεκτών παρουσιάζουν σχετικά χαμηλό χρόνο αποπληρωμής, από 5 έως 8 έτη. Στο μέλλον υπάρχει ανάγκη για μελέτη βελτιώσεων της απόδοσης των παραβολικών συλλεκτών, έτσι ώστε να γίνουν πιο ανταγωνιστικές και αποδοτικές τεχνολογίες.
Η χρήση νανορευστών, ενθέτων ροής, πτερυγίων ροής και επιπλέον οπτικών ανακλαστήρων είναι ελπιδοφό
ρα λύση για την εδραίωση των παροβολικών θερμικών συλλεκτών ως μια ιδιαίτερα ενδιαφέρουσας ενεργειακής λύσης.
*Ο Ευάγγελος Μπέλλος είναι δρ. μηχανολόγος, μηχανικός ΕΜΠ και μεταδιδακτορικός ερευνητής του ΕΜΠ, ενώ ο κ. Χρήστος Τζιβανίδης είναι αναπληρωτής καθηγητής στη Σχολή Μηχανολόγων Μηχανικών του ΕΜΠ (Εργαστήριο Ηλιακής Ενέργειας).


